分化|TAA Medical统恩专家告知,糖尿病患者福音来了,干细胞可治疗糖尿病( 二 )

文章插图
图1.人多能干细胞定向分化为胰岛细胞
文章插图
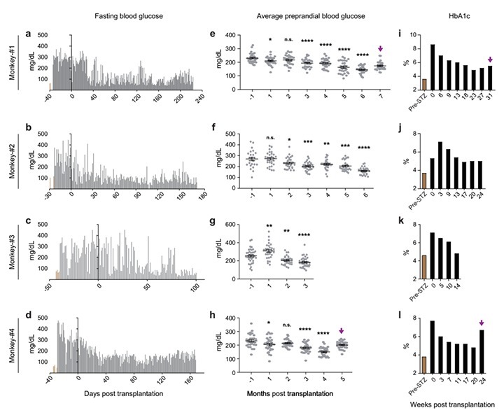
图 2. 从人类多能干细胞分化而来的胰岛细胞被移植到糖尿病小鼠模型中以逆转小鼠糖尿病。 在此基础上,研究团队进一步将人多能干细胞分化的胰岛细胞移植到糖尿病非人灵长类动物模型中,并观察其长期安全性和有效性。 非人类灵长类动物模型在遗传学、解剖学、新陈代谢和生理学方面与人类高度相似,使其成为非常理想的模型系统。 研究团队采用临床常用的胰岛移植手术,将人多能干细胞分化的胰岛细胞注入糖尿病模型猴体内,受体猴的空腹血糖和平均餐前血糖显着降低。 研究小组观察到,接受细胞移植的糖尿病猴体内释放的 C 肽(一种胰岛素分泌的标志物)能够对膳食或葡萄糖刺激作出反应。HbA1c是临床常用的指标,用于综合评价糖尿病患者中长期血糖控制情况;HbA1c 每降低 1%,就会显着降低糖尿病相关并发症的风险。 值得指出的是,4只长期随访的糖尿病模型猴中,糖化血红蛋白(HbA1c)较移植前峰值下降了2%以上。 研究人员还发现,在血糖波动较大、整体控制不佳的糖尿病模型猴中,移植由人多能干细胞分化而来的胰岛细胞后,血糖的控制得到明显改善。 这一结果提示,人多能干细胞分化的胰岛细胞移植有望用于治疗脆性糖尿病患者,可有效降低脆性糖尿病患者的死亡风险。 综上所述,本研究在非人灵长类糖尿病模型中进行了长期系统的跟踪观察,证明了人多能干细胞分化的胰岛细胞治疗糖尿病的安全性和有效性。
文章插图
图 3. 从人类多能干细胞分化而来的胰岛细胞。 移植到糖尿病猴模型中有效地改善了血糖控制。 最近,利用人多能干细胞分化的细胞治疗糖尿病取得了一些重要进展。 美国的ViaCyte尝试利用人类多能干细胞分化的胰腺前体细胞进行糖尿病治疗。 他们报告说,在 17 名患者中,一些患者能够在细胞植入后 6 个月检测到低水平的 C。 肽分泌; 同时,达到目标血糖范围的时间增加了 13%。 该研究结果证明了该方法的安全性,但也表明该方法获得的人多能干细胞分化的胰腺前体细胞与人原代分离的胰岛在临床疗效上存在明显差距。Melton团队与美国Vertex公司合作,直接使用人多能干细胞分化的胰岛细胞进行移植,并在第一批进行细胞移植的志愿者中,观察到内源性胰岛素分泌明显恢复,细胞??移植后90天, 患者的每日胰岛素剂量减少了 91%。 尽管仅报告了一名患者的数据,但结果令人鼓舞。这项研究成功地证明了从人类多能干细胞分化而来的胰岛细胞在非人类灵长类动物模型中治疗糖尿病的安全性和有效性。该研究的临床研究结果充分证明了人类多能干细胞来源的胰岛细胞在治疗1型糖尿病方面的巨大潜力。
- 未分化癌|吃一次等于半斤油,27岁女子甲状腺癌离世,只因爱吃1种粗粮
- 甲状腺癌|甲状腺癌为什么叫幸福癌?也有例外!未分化癌5年生存率仅11%。
- 结节|磨玻璃肺癌都是高分化腺癌吗?磨玻璃结节发展到哪种腺癌都有可能
- 未来|中国工程院院士樊代明:医学知识分化越来越细,不整合难以形成战斗力
- 2021CSCO分化型甲状腺癌诊疗指南系列解读——高再荣教授解析131I治疗篇
- 相关|财说|胰岛素集采结果出炉,相关上市公司股价分化
- 中国抗癌协会|TAA Medical统恩医学专家提醒乳腺癌发病率又变高了,预防要趁早
- 干细胞|TAA Medical统恩医学的干细胞疗法对120例重型狼疮肾炎临床疗效评估
- 欧元|GPS2021年Q3财报出炉!业绩分化,供应链成痛点
- 恶性|肿瘤未分化、低分化、中分化、高分化是什么意思?哪个类型最严重
